업계 "거래위축 불가피… 리츠 등 제외 형평성 어긋"
내년 하반기부터는 해외ETF(상장지수펀드)뿐만 아니라 증시에 상장돼 주식처럼 거래할 수 있는 폐쇄형(환매금지형) 부동산펀드와 해외펀드에 대해서도 15.4%의 배당소득세가 부과된다.
정부가 일반 펀드와의 형평성을 위해 모든 상장 펀드에 배당소득세를 부과하기로 결정했기 때문이다. 상장 펀드에 배당소득세가 부과되면 주식거래가 크게 위축돼 투자자들의 자금회수 계획 등이 차질을 빚을 것으로 예상된다.
3일 기획재정부 소득세제과 관계자는 "어제 발표한 소득세법 시행령 개정안이 통과되면 내년부터는 상장 펀드도 일반 펀드처럼 주식(수익증권) 매도시 배당소득세가 부과된다"며 "과세 대상은 해외ETF뿐만 아니라 폐쇄형 부동산펀드와 해외펀드 등이 모두 포함된다"고 밝혔다.
개정안에 의하면 내년 7월부터 상장 펀드의 주식을 거래해 매매차익이 발생할 경우 15.4%의 배당소득세가 부과된다. 가령 부동산펀드인 맵스리얼티1(미래에셋맵스아시아퍼시픽부동산공모1호펀드)에 1000만원을 투자해 10%(100만원)의 수익을 올렸을 경우 지금은 비과세지만 내년 7월부터는 15만4000원의 세금을 내야하는 것이다.

과세 대상은 모든 상장 펀드이지만 자본시장법이 아닌 다른 법에 의해 만들어진 선박펀드(선박투자회사법)와 리츠(REIT's, 부동산투자회사법)는 대상에서 제외됐다. 또 국내 주식에 투자하는 상장 펀드는 국내 주식형펀드와 마찬가지로 매매차익이 비과세된다. 따라서 상장 펀드 중 실제 과세 대상은 폐쇄형 부동산펀드와 해외펀드가 될 전망이다.
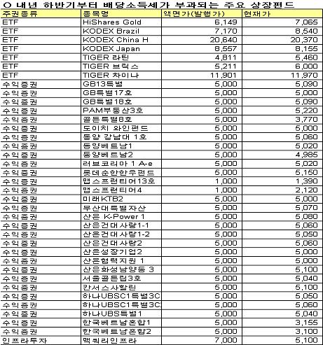
현재 증시에 상장된 폐쇄형 부동산펀드(특별자산펀드 포함)로는 맵스리얼티1 (3,115원 5 -0.2%), '도이치와인펀드'등 36개가 있으며 해외펀드는 KODEX China H, 한국베트남혼합1등 9개가 거래되고 있다.
기획재정부 관계자는 "현행처럼 상장 펀드에 대해 비과세할 경우 만기 때나 해지 때 주식을 보유한 투자자만 세금을 내야 문제가 생긴다"며 "일반 펀드와 투자자간 형평성 차원에서 모든 상장펀드에 배당소득세를 부과하기로 했다"고 말했다.
독자들의 PICK!
업계에서는 정부의 상장 펀드 과세 방침에 강하게 반발하고 있다. 그나마 얼마 안 되는 상장 펀드의 거래가 더욱 위축돼 환금성은 떨어질 수밖에 없고, 이 경우 투자자 피해는 물론 펀드 상장제도 자체가 무의미해진다는 비난이다.
자산운용사 한 대표이사는 "똑같은 국내 주식을 거래하는데 어떤 투자자가 일부러 세금이 붙는 주식을 사겠냐"며 "정부가 폐쇄형 펀드의 환금성을 보장하기 위해 상장제도를 만들어 놓고 이제와서 정반대 정책을 펴고 있다"고 꼬집었다.
실제 기획재정부는 투자자의 환금성을 보장할 수 있는 별도의 장치가 없는 폐쇄형 펀드의 경우 설정이후 90일 이내에 증시 상장하도록 의무화시켰다(자본시장법 230조).
증시에 상장된 선박펀드와 리츠가 과세 대상에서 배제된 것은 또 다른 형평성 문제라는 지적이다. 업계관계자는 "펀드간 형평성을 위해 과세해야 한다면서 펀드와 다를 바 없는 선박펀드와 리츠는 왜 빠진 것이냐"며 "근거 법률이 다르기 때문이라는 것은 전형적인 탁상행정"이라고 비난했다.
