비 안온날 예측한 것도 '적중' 계산, 시민들 체감평가와 거리감
지난 12월 기상청은 날씨예보 서비스 향상을 위해 날씨예보의 정확도를 평가하는 '예보평가'를 홈페이지에 공개했다. 그로부터 반년이 지난, 올해 여름 기상청은 자신을 어떻게 평가하고 있을까.

기상청 홈페이지에 올라온 예보평가를 보면 대체로 만족스런 분위기다. 특히 시민들이 민감하게 생각하는 강수확률에 대한 평가가 후하다. 강수유무 항목은 지난해 11월 예보평가가 시작된 이후로 거의 100%에 가깝다.(표 참조)
실제 시민들이 느끼는 체감 평가는 그렇지 않다. 지난 7월 1일부터 26일까지 26일간 서울지역에는 12건의 강우 예보가 있었다. 그러나 기상청이 공개한 강우 관련 날씨 기록을 살펴보면 총 18번의 비가 내렸다. 3번중 1번의 예보가 빗나간 것이다.
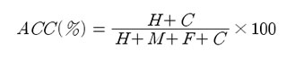
이같은 차이는 기상청의 예보평가가 시민들의 심리를 반영하지 못한 탓으로 보인다. 현재 기상청에서 사용하는 계산법은 "적중(H, Hit), 오류(F, False), 놓침(M, Miss), 부의 맞힘(C, Correct Negative)"의 네 가지 수치로 계산한다.
적중은 강우 예보 후 실제로 비가 온 경우를, 오류는 강우예보를 했으나 비가 오지 않은 경우를 의미한다. 놓침은 강우예보 자체가 없었는데 비가 온 경우를, 부(不)의 맞힘은 비가 오지 않을 것을 예보하고 실제로 비가 안 왔을 때 적용한다. 평가 값은 적중과 부의 맞힘을 더한 값을 모든 값을 더한 것으로 나눠 계산한다.

이 수치들 가운데 '부의 맞힘'이 시민들의 체감지수와 기상청의 자체평가 간에 괴리를 만드는 것으로 분석됐다. 기상청은 '비가 안온다'고 예보한 것도 적중으로 보는 반면, 시민들은 비가 온 날만의 일기만을 보고 강수 예보를 평가한다는 것이다.
기상청 예보정책과의 고정석 사무관은 "시민이 느끼는 예보 정확도와 기상청 자체평가가 일치되긴 어렵다"며 "다른 방식의 예보평가를 도입해도 어느 정도의 괴리감을 있을 것"이라 답했다. 고 사무관은 "우리의 예보수준은 선진국 수준이지만 예보에 대한 만족도는 아직 따라오지 못한다"고 덧붙였다.
기상청은 일반 사람들이 느끼는 예보 정확도와의 간격을 좁히기 위해 "새로운 예보평가 방법을 고안 중"이라 밝혔다.