9월이후 급등락 일수 다우지수가 더 많아..하락률도 다우가 커
전세계적으로 금융위기가 확산되기 시작한 지난 9월 이후, 국내 코스피지수가 '동조화(syncronization)'라는 숙명으로 얽혀있는 미국 증시 태풍을 이겨내려 투쟁한 흔적이 역력하다. 미국은 물론 유럽을 침몰시키고 실물까지 번지는 글로벌 위기태풍의 위력 앞에 결국 무릎을 꿇었지만 최소한 최근 위기원인이 국내에 있는 것이 아니다는 한가닥 희망은 투자자 인식에 스며있다는 평가다.
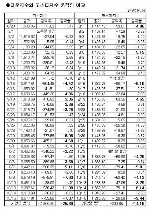
9월1일부터 10월16일(미국은 8월29일부터 10월15일)까지 다우지수와 코스피지수의 움직임을 보면, 3% 이상 등락한 날은 다우지수가 13번, 코스피지수가 10번이었다. 코스피지수가 다우지수에 비해 덜 출렁거린 것.
또 조사기간동안 등락률을 보면 다우지수가 25.69% 하락한 것에 비해 코스피지수는 14.19% 하락하는데 그쳤다.
환율과 중견그룹들의 유동성 위기설이 증시 하락의 원인이 됐던 9월초에는 코스피지수가 다우지수보다 더 심하게 움직였다. 다우지수는 8월29일부터 9월10일까지 3% 이상 등락한 날이 없었던 반면, 코스피지수는 9월1일 4.06% 하락했고, 9월8일에는 반대로 5.15% 상승했다.

하지만 추석을 지나면서 상황은 바뀌었다. 추석 연휴 직후인 9월16일(미국시간 9월15일) 다우지수 4.42% 하락에 코스피지수 6.10% 하락할 때만 해도 국내 증시 변동성이 더 커 보였다. 그러나 이후 9월말까지 다우지수가 6차례나 3% 이상 출렁거린 것에 비해 코스피지수는 9월19일 단 한번 4.55% 상승했을 뿐 상대적으로 안정적인 움직임을 보였다.
특히 미 하원에서 구제금융안을 부결시키면서 다우지수가 6.98%나 하락했던 9월30일, 코스피지수는 0.57% 하락하면서 거의 영향을 받지 않은 모습을 보였다.
이에 대해 증시전문가들은 "미국 구제금융법안이 1차로 의회에서 부결되면서 주요국 증시가 급락하자, 미국의 특수한 정치사정에 기인한 것으로 축소해석되고 우리 정부가 공매도 금지 등 발빠른 조치를 하면서 급락을 막았다"고 평가했다.
10월들어서는 두 지수 모두 3% 이상 움직인 날이 6번으로 동일하다. 전세계 금융시장과 실물경제를 수렁으로 몰아넣는 글로벌 위기태풍의 위력을 실감하며 동조화의 숙명에 무릎을 꿇었다는 의미로 해석된다.
3일(미국시간) 다우지수가 1.50% 하락한 것에 비해 6일(한국시간) 코스피지수는 4.29% 하락해 더 크게 움직였는데, 이는 국내 증시가 개천절로 휴장하면서 2일(미국시간) 3.22% 하락한 것까지 함께 영향을 받았기 때문으로 파악됐다.
독자들의 PICK!
이후 대체로 비슷한 움직임을 보였다. 다만 15일(미국시간) 다우지수가 실물부문에 대한 위기의식으로 7.87% 하락하자, 코스피지수는 9.44%로 더 크게 하락했다. 실물부문의 위기의 경우 우리 역시 자유로울 수 없는, 특히 수출 비중이 큰 한국 입장에서 더 큰 악재가 될 수 있다는 우려때문이었다.
한편 증시전문가들은 이처럼 코스피지수가 다우지수보다 상대적으로 안정적인 움직임을 보인 것에 대해 위기의 발단이 미국이었기 때문이라고 해석했다.
민상일 한화증권 애널리스트는 "이번 글로벌 위기의 발단은 미국이고, 다른 나라들은 그것이 전염된 것이기 때문에 어찌 보면 당연한 일일수도 있다"며 "또 급락할 때마다 저가매수로 지수를 받친 연기금 등 기관과 개인의 활약도 증시 안정성에 기여했다"고 덧붙였다.