[박정렬의 신의료인]

2020년 기준 국내 암 발생률 1위인 갑상선암은 대게 진행 속도가 느리고 사망률이 낮아 '거북이 암' '착한 암'이라고 불린다. 수술 대신 적극적인 추적 관찰만 시행하는 경우도 드물지 않다.
하지만, 초음파 검사에서 특정 소견이 보이면 암 진행 위험이 높다는 사실이 국내 연구진에 의해 밝혀져 주의가 요구된다. 서울대병원 영상의학과 김지훈·이지예, 내분비대사내과 박영주 교수 연구팀은 서울대병원·분당서울대병원·국립암센터의 다기관 전향 코호트(MAeSTro)에 등록된 미세갑상선유두암 환자를 대상으로 초음파 소견과 종양 진행 위험의 연관성을 분석한 결과 이런 사실을 확인했다고 22일 밝혔다.

갑상선암의 80~90%는 암세포 분화도가 높은 갑상선유두암에 속한다. 그중 특히 종양 크기가 1㎝보다 작은 '미세 갑상선 유두암'은 진행 속도가 느리고 사망률이 매우 낮아서 국내외 주요 학회에서 수술 대신 초음파 검사 등을 통한 적극적 관찰을 고려할 수 있다고 규정하고 있다. 실제로 우리나라도 수술 대신 정기 검사로 상태를 확인하는 환자도 점차 증가하는 추세다.
적극적 관찰이 환자에게 적합한지 평가하려면 종양의 장기 예후나 진행 속도를 예측하는 것이 중요한데, 지금까지는 미세 갑상선 유두암의 위험인자는 명확히 밝혀진 바가 없었다.

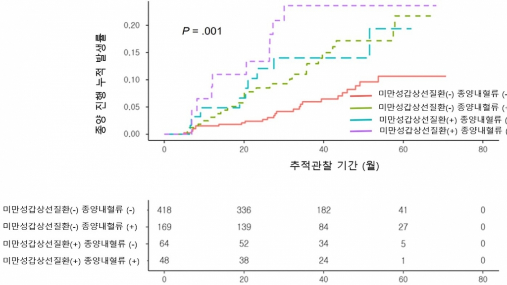
이에 서울대병원 연구팀은 적극적 관찰의 사전 정보 활용을 위해 2회 이상 초음파 검사를 받은 미세 갑상선 유두암 환자 699명을 평균 41개월간 추적 관찰해 초음파 소견과 종양 진행의 연관성을 분석했다. 종양 진행은 종양 크기 증가, 갑상선외 조직 침범, 림프절 전이 여부로 평가했다.
그 결과, 초음파상 갑상선 실질이 불균일하게 보이거나 혈류가 전반적으로 증가한 '미만성 갑상선 질환'과 '종양 내 혈류 증가' 2가지 초음파 소견이 종양 진행과 독립적으로 연관된 것으로 나타났다. 추적 관찰 4년 차에 두 초음파 소견이 동시에 보인 환자의 종양 진행률은 21%(48명 중 10명)로 이런 소견이 없는 환자의 종양 진행률(6%, 418명 중 25명)보다 훨씬 높았다.

추가 위험도 분석 결과 미만성 갑상선 질환 및 종양 내 혈류 증가 소견이 없는 환자와 비교해 한 가지 소견만 보인 환자는 종양 진행 위험이 2.2배, 두 가지 소견이 동시에 보인 환자는 종양 진행 위험이 3.5배 더 높은 것으로 나타났다. 특히, '종양 내 혈류 증가' 소견이 있으면 림프절 전이 위험이 약 5배 높았고 미만성 갑상선 질환 소견이 있을 땐 그렇지 않은 환자보다 종양 크기 증가 위험이 2.7배 높았다.
독자들의 PICK!
이번 연구에서는 30세 미만의 젊은 나이, 남성, 갑상선자극호르몬(TSH) 증가 등의 임상 특성도 미세 갑상선 유두암의 빠른 진행과 연관된 것으로 확인됐다. 김지훈 교수는 "장기적인 추적 자료를 통한 결과 검증이 필요하지만 미세 갑상선 유두암에 대해 적극적 관찰을 실시할 때 환자의 임상적 특성이나 초음파 소견을 함께 평가한다면 맞춤형 종양 진행 감시가 가능할 것"이라고 말했다.
이번 연구는 영상의학 분야 국제 학술지인 '북미방사선학회지('Radiology)에 게재됐다.