
에스씨엠생명과학(812원 ▼6 -0.73%)이 개발하는 아토피 피부염 줄기세포치료제의 임상시험 결과가 전 세계 면역학 분야에서 최고 수준의 권위를 인정받는 국제학술지에 게재됐다. 그만큼 해외에서 에스씨엠생명과학의 아토피 피부염 줄기세포치료제 연구 역량을 높게 평가했단 의미다. 에스씨엠생명과학은 이를 계기로 국내외에서 아토피 피부염 줄기세포치료제의 국내외 임상 3상에 속도를 낼 수 있게 적극적으로 공동연구나 기술이전을 추진하겠단 전략이다.
에스씨엠생명과학은 알레르기 및 임상 면역학 분야 주요 저널인 'Journal of Allergy and Clinical Immunology'(JACI, IF:11.3)에 아토피 피부염 줄기세포치료제 'SCM-AGH'의 임상 1/2상 시험 결과를 다룬 논문이 실렸다고 15일 밝혔다. JACI는 전 세계 알레르기 및 임상 면역학 분야 연구자 사이에서 영향력을 인정받는 국제학술지로 꼽힌다.
에스씨엠생명과학의 논문 제목은 'Phase I/II trials of human bone marrow-derived clonal mesenchymal stem cells for treatment of adults with moderate-to-severe atopic dermatitis' (중등도 및 중증의 성인 아토피 피부염 치료를 위한 인간 골수유래 중간엽 줄기세포의 1/2상 임상시험)다.
에스씨엠생명과학 관계자는 "아토피 치료제와 같은 물질로 개발하는 급성췌장염 치료제(SCM-AGH)의 임상 2a상 연구가 지난해 국제학술지 개스트로엔터롤로지(Gastroenterology, IF 33.883)에 게재되며 호평을 받은 데 이어 아토피 임상 연구까지 톱저널에 논문이 게재되며 가능성을 확인했다"며 "에스씨엠생명과학의 동종유래 줄기세포치료제에 대한 경쟁력을 입증한 사례로, 전 세계적으로도 매우 의미 있는 결과"라고 설명했다.
아토피 피부염은 유전적 또는 환경적 요인과 면역 체계의 이상 등으로 피부에 심한 가려움증과 염증을 일으키는 만성 질환이다. 극심한 가려움과 염증으로 환자의 삶의 질이 크게 떨어진다. 특히 중등증 이상의 아토피 피부염은 여러 치료제가 있지만 치료 효과가 짧거나 미미하거나 부작용을 유발한다. 이 때문에 안전하면서 치료 효과를 오래 유지할 수 있는 신약 개발이 절실하다.
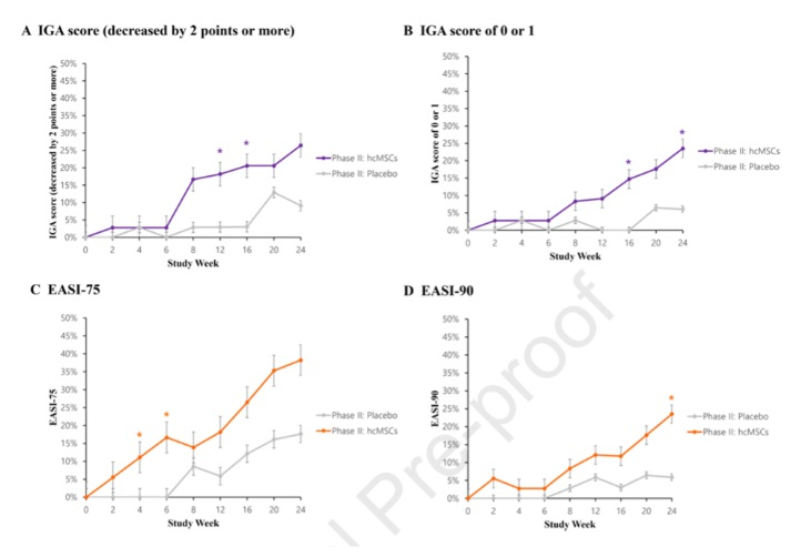
JACI에 게재된 에스씨엠생명과학의 논문은 임상시험에 참여한 환자의 데이터를 분석해 치료제의 유효성을 평가한 결과 등을 다뤘다. 이를 통해 아토피 피부염 치료 효과의 장기지속성에 대한 새로운 가능성을 시사한다.
논문에 따르면 SCM-AGH를 투약한 시험군에서 12주차에 EASI(Eczema Area and Severity Index) 점수의 50% 감소(EASI-50)를 달성한 환자 수가 위약군 대비 통계적으로 유의한 차이를 나타내 1차 유효성 평가 변수를 달성했다. 이 외에 EASI-75와 EASI-90, IGA(시험자 전반적 평가) 등 평가 변수에서 SCM-AGH 투약 뒤 24주까지 시험군과 위약군에서 차이를 보였다. 또 SCM-AGH와 관련이 있다고 판단할 만한 중대한 이상반응은 0건으로 안전성을 입증했다. 논문과 관련한 구체적인 내용은 JACI 온라인 홈페이지에서 확인할 수 있다.
독자들의 PICK!
에스씨엠생명과학은 아토피 피부염 줄기세포치료제의 임상 연구를 다룬 논문이 JACI에 게재되며 글로벌 시장에서 경쟁력을 확인한 만큼 대규모 글로벌 임상 3상에 적극적으로 나설 계획이다. 특히 글로벌 제약사를 대상으로 공격적으로 SCM-AGH의 마케팅을 진행하며 파트너십을 맺는 데 집중할 예정이다. 국내 파트너인 한독은 SCM-AGH의 임상 3상을 진행할지 여부를 이달까지 알려주기로 했다.
이와 별개로 SCM-AGH의 급성췌장염 치료제 개발은 첨단재생의료 임상연구로 방향을 틀었다. 이미 급성췌장염 환자를 대상으로 SCM-AGH의 연구를 담당할 다수 의료기관을 확보했다. 앞으로 보건복지부 첨단재생의료 및 첨단바이오의약품 심의위원회와 식품의약품안전처(식약처)의 승인을 거쳐 실제 환자 대상 연구에 돌입할 계획이다.
오형남 에스씨엠생명과학 전무(대표이사 직무대행)는 "이번 임상시험 결과와 논문 게재는 아토피 피부염 치료제 개발 과정에서 중요한 진전을 이룬 것"이라며 "앞으로도 환자들에게 더 나은 치료 옵션을 제공하기 위해 계속 연구개발에 힘쓰겠다"고 말했다.
또 "최근 글로벌 제약 및 바이오 시장에선 염증질환과 자가면역질환 치료제 개발 분야에 관심이 크고, 실제 염증조절 및 면역기전 조절 물질에 대한 기술이전이 빅마파(대형제약사) 사이에서 활발하게 이뤄지고 있다"며 "에스씨엠생명과학의 신약 파이프라인은 이 두 가지 조건을 충족하면서 임상 연구에서 치료 효과를 입증한 데다 글로벌 톱저널에 연이어 논문이 실리며 기술이전 가능성이 높아졌다"고 말했다.
이어 "최근 최대주주의 경영권 매각 관련 이슈는 창업자인 고 송순욱 대표가 개발한 줄기세포 분리 원천기술인 층분리배양법으로 분리한 줄기세포치료제의 임상 연구 성과가 빛을 발하고, 올해 하반기 이식편대숙주질환 임상 2상 결과를 성공적으로 발표하면 자연스럽게 해소될 것"이라며 "경영진은 주주가치를 높이기 위해 자체 원천기술로 분리한 줄기세포의 우수성에 대한 R&D(연구개발) 성과를 입증하며 글로벌 시장에 적극적으로 진출하겠다"고 설명했다.