휴가철이 시작되면서 회원권 시장은 일부종목을 제외하고는 대체로 관망세가 우세한 모습이다. 그러나 종목별 장세는 여전하다. 특히 초고가대 회원권들은 호가상승이 계속되면서 마침내 지수 2000을 돌파했다. 고가대이상의 프리미엄종목들의 선전으로 에이스종합지수는 1570선을 돌파하면서 소폭 상승세를 기록했다.
금주들어 고가대 이상 종목들의 거침없는 상승세가 돋보이고 있다. 이는 법인체의 적극적인 매수세에 기인한 일방적인 호가상승때문이기도 하다. 그러나 전통적으로 7월과 8월은 하반기 시장을 겨냥한 변곡점으로 움직임이 둔하고 거래량도 바닥권을 맴돌기 때문에 뚜렷하게 전체시장을 진단하기는 어렵다. 그럼에도 불구하고 시장의 전반적인 수급양상은 매물확보가 여의치 않은 매도자우위의 장세를 보이고 있다.
한편 주식시장은 활황세를 넘어 과열양상을 보이면서 금리인상 가능성이 유력하게 점쳐지고 있다. 사실 2005년 이후 회원권 시장이 꾸준한 상승세를 이어온데는 저금리기조에 따른 풍부한 유동성이 큰몫을 담당해 왔다. 따라서 만약 금리인상이 단발성에 그친다면 별다른 영향은 없을 것으로 예상되지만 추가적인 금리인상은 회원권 시장에 부정적인 요소로 작용할 가능성이 높기 때문에 앞으로 예의 주시해야 할 것으로 보인다.
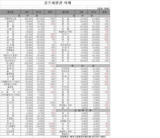
#초고가대: 추가 상승 2000돌파
초고가대회원권들이 추가상승에 성공하며 마침내 2000선을 돌파했다. 대부분의 종목은 매물기근에 시달리면서 강력한 법인매수세에 따른 호가상승이 이루어졌다. 가평베네스트는 최초로 16억대를 넘보고 있는 반면 남부는 숨고르기 양상을 보이며 양자의 호가격차가 확대되고 있다. 남촌은 단숨에 14억을 돌파하면서 곤지암의 터줏대감인 이스트밸리를 추월할 태세다. 렉스필드도 반등세가 뚜렷하며 11억원대에 안착했다. 레이크사이드와 화산, 아시아나는 보합세를 유지하고 있다. 신원은 여전히 약보합세이며 비전힐스는 강보합세다.
#고가대: 상승세 1800돌파
1800선에서 다소 정체된 모습을 보였던 고가대 종목들은 추가상승에 시동을 걸며 1800선을 돌파했다. 특히 마이다스밸리는 매물감소가 두드러지면서 지수견인에 가장 큰 역할을 하고 있다. 프리스틴밸리와 파인크리크도 추가 상승세를 기록했다. 지산과 레이크힐스는 보합권대에서 매매되고 있으며 리베라특별회원권과 썬밸리는 단기급등에 따른 숨고르기가 지속되고 있다. 태영은 반등세를 나타냈고 강북권의 송추와 서원밸리는 다소 매물이 늘었다. 서울과 한양은 여전히 견조한 강보합세를 유지중이며 발안우대와 비에이비스타 등은 보합권을 형성하고 있다.
#중가대: 보합세 지속 흐름
독자들의 PICK!
상승세를 보이는 고가대 종목들에 비해 중가대 클럽들은 대체로 보합세가 지속되고 있다. 뉴서울과 88, 남서울 등 근교의 인기클럽들은 매수세가 조금씩 증가하고 있으나 뚜렷한 움직임은 없다. 반면 라데나와 레이크우드프리빌리지회원권의 상승세가 눈에 띈다. 뉴코리아와 서서울은 보합권대에서 매매되고 있으며 기흥과 제일도 비슷하다. 뉴스프링빌과 세븐힐스는 법인매수세가 증가하면서 상승세를 보이고 있고 자유와 블루헤런 등 원거리대의 예약우수클럽들은 반등세가 뚜렷하다.
#저가대: 보합세 유지
저가대회원권들은 보합세를 유지하고 있다. 종목에 따라서 차별적이기는 하지만 수급은 비교적 양호한 상황이다. 레이크우드와 중앙의 상승세가 돋보이는 가운데 리베라, 프라자, 한원 등은 보합권에서 업치락 뒤치락하고 있다. 골드와 한성, 수원 등도 보합권에서 매매되고 있으며 양주는 반등세를 보이고 있다. 여주는 강보합세, 안성과 이포는 보합세다. 아시아나와 세븐힐스를 비롯한 주중회원권들의 상승세는 계속되고 있다. 실크리버와 그랜드 등 충청권의 종목들은 매수세가 조금씩 증가하고 있다.
종합리조트회원권은 단기악재로 작용할 수 있는 동계올림픽유치실패에도 불구하고 별다른 영향을 받지 않는 모습이다. 강촌은 여전히 매수세가 좋고 용평과 오크밸리는 오히려 강보합세를 유지하고 있다. 휘닉스파크도 보합세다. 제주지역은 기존의 고가전략에서 탈피한 저가형 분양상품이 경쟁력을 보이면서 앞으로의 귀추가 주목된다.
<에이스회원권거래소 애널리스트 손중용 [email protected]>
