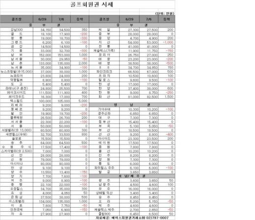
휴가철이 시작되는 7월 들어 회원권 시장은 대체로 차분한 가운데 종목별 장세를 이어가고 있다. 전체적으로 눈에 띄는 움직임은 없지만 일부종목들은 연일 신고가를 기록하며 강세를 지속하고 있다. ACEPI는 1560선에서 횡보를 계속하고 있다.
전반적인 분위기는 여전히 관망세가 우세해 보이지만 시장참여자들의 거래성사율은 높은 편이다. 시기적으로도 가을시즌에 대비한 매수세가 서서히 늘어날 때라 수급에는 큰 어려움이 없을 것으로 전망된다. 고가대의 종목들이 비교적 양호한 느낌이지만 대부분 개별호가는 보합권대에서 머물러 있다.
특히 경기 북부와 서북부지역의 골프장들이 시종일관 견조한 흐름을 지속하고 있어 눈에 띈다. 이는 구체화되고 있는 일산과 동두천 지역의 개발에 따른 인구유입 기대와 동서간 고속도로 사업으로 얻게될 접근성 개선 등이 이들 지역의 회원권 가격을 상승시킬 모멘텀으로 작용하고 있기 때문인 것으로 분석된다.
따라서 앞으로도 개별 호재를 바탕으로 하는 종목별 장세는 더욱 강화될 것으로 보인다. 또한 지금처럼 큰 움직임이 없는 조정기에는 향후 상승가능성을 내포하고 있는 회원권을 신중하게 고르기에 적당한 시기로 평가된다.
#초고가대: 보합세
지수 2000을를 앞두고 초고가대회원권들은 관망세를 보이고 있다. 가평과 남부의 호가는 여전히 좋으며 남촌과 렉스필드도 매수세가 양호하다. 강세를 보였던 이스트밸리는 숨고르기장세를 보이고 있으며 레이크사이드는 보합권을 유지하고 있다. 화산은 강세가 이어지고 있으나 신원은 다소 약보합세다. 아시아나와 비전힐스는 보합세를 유지하고 있다.
#고가대: 보합세, 다소 정체된 모습
고가대 지수는 1800선에서 뚜렷한 움직임 없이 보합세를 보이고 있다. 청평권의 마이다스밸리와 프리스틴밸리가 거침없는 상승세로 지수를 견인하고 있으나 대부분 단기상승에 따른 피로감을 느끼는 모습이다. 지산은 보합권대에 머물러있으나 파인크리크는 매수세가 호전되고 있다. 리베라특별회원권과 썬밸리는 단기급등에 따른 숨고르기를 하고 있고 태영과 레이크힐스는 약보합세가 지속되고 있다. 송추는 약보합세인 반면 서원밸리는 강보합세를 보이는 것이 눈에 띈다. 강북권의 서울과 한양은 여전히 견조한 강보합세를 유지 중이며 발안우대와 비에이비스타 등은 움직임이 거의 없다.
#중가대: 강보합 1700선 유지
독자들의 PICK!
중가대 클럽들은 전주와 마찬가지로 대체로 보합권을 유지하고 있다. 대부분 종목이 큰 변화가 없으나 매수세는 서서히 증가하고 있다. 상반기 상승률1위에 오른 라데나는 추가상승세를 보이고 있으나 88과 뉴서울, 남서울, 제일 등은 보합권대에서 매매되고 있다. 강북권의 뉴코리아는 소폭의 강세이며 서서울은 숨고르기 양상이다. 이밖에 뉴스프링빌과 세븐힐스, 자유, 블루헤런 등 원거리대의 예약우수클럽들은 반등기미가 조금씩 나타나고 있다.
#저가대: 보합권대 매매
저가회원권들 역시 보합권대에서 매매되고 있다. 종목별로도 눈에 띄는 움직임이 없는 가운데 매도자와 매수자 공히 관망세가 우세한 상황이다. 다만 레이크우드가 계속해서 상승세를 지속하고 있다. 리베라는 9천만원대를 유지하고 있으며 프라자와 한원은 보합세다. 골드와 한성, 수원 등은 보합권을 유지하고 있으나 매수세가 약간 우위에 있어 보인다. 여주는 소폭 하락 후 반등세를 보이고 있으며 중앙은 견조한 모습을 유지하고 있다. 아시아나를 비롯한 주중회원권들은 계속해서 양호한 움직임이지만 거래량은 다소 떨어졌다. 실크리버와 그랜드 등 충청권의 종목들은 매수세가 다소 우세하다.
종합리조트회원권은 양호한 장세를 이어가고 있다. 강촌은 상승세를 유지하고 있으며 용평과 오크밸리는 보합권을 유지하고 있다. 휘닉스파크는 보합세다. 제주지역은 기존의 고가전략에서 탈피한 저가형 분양상품이 경쟁력을 보이면서 앞으로의 귀추가 주목된다.
<에이스회원권거래소 애널리스트 손중용, [email protected]>
