SH공사, 8000만원대부터 3억원대까지 장기전세주택 공급

서울시 SH공사가 오는 18일부터 양재1단지 등에 장기전세주택(시프트) 455가구를 공급한다고 7일 밝혔다.
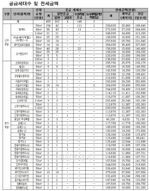
이번에 공급하는 물량은 서초구 양재동 102번지에 위치한 양재1단지 231가구, 서초구 우면동 서초네이처힐1단지 44가구 등 총 275가구의 '건설형 시프트'와 래미안도곡진달래 14가구, 강서한강자이 81가구 등 총 95가구의 '매입형 시프트'다. 또 기존 공급단지 중 입주자 퇴거, 계약취소 등으로 발생한 공가 85가구(32개 단지)도 공급한다.
공급가격은 주변 아파트 전세시세의 75~80%수준이다. 다만 잔여 공가 60㎡ 이하 건설형'은 국민임대주택을 시프트로 전환한 것으로 주변 아파트 전세시세의 50~60% 수준이다.
신규 공급단지의 가격은 최저 1억5600만원(강서한강자이 59㎡형), 최고 3억6400만원(래미안도곡진달래 59㎡형)이며, 가장 저렴한 시프트는 잔여공가 38㎡형 왕십리모노퍼스(8020만원)로 1억원이 안된다.
양재1단지는 시프트 전용단지다. 강남도심에서 가깝고 양재천이 인근에 있으며 강남대로, 경부고속도를 쉽게 이용할 수 있다. 서초네이처힐1단지도 강남도심과 가깝고 우면산과 양재천이 근접해 있으며 우면산터널, 선바위길, 경부고속도로 이용이 쉽다.
잔여공가는 강일, 상계장암, 상암, 신내, 신정, 은평, 천왕 등 32개 단지에 분산돼 있으며, 단지별 공급가구수가 적어 당첨커트라인이 다소 높아질 것으로 SH공사는 예상했다.
시프트 청약 대상자는 입주자모집공고일 현재 서울시에 거주하고 본인과 세대원 전원이 무주택인 세대주다. 이중 '건설형'에 청약하려면 일정 소득·자산 범위내 청약저축(예금)가입자여야 한다. '매입형'은 일정 소득·자산범위내면 청약저축 등의 서울시 거주기간이 각각 1년 이상이면 1순위로 청약할 수 있다. 도시계획철거민 특별공급물량은 서울시 도시계획사업 철거민에게 특별공급한다.
청약 접수는 일반 1순위와 우선공급, 고령자 65세 이상은 18~20일, 일반 2순위와 고령자 60~65세 미만은 21일, 일반 3순위는 22일이다. 선순위 신청자 수가 공급가구의 200%를 초과하면 후순위 신청접수는 받지 않는다.
청약 신청은 SH공사 홈페이지(www.shift.or.kr 또는 www.i-sh.co.kr)에서 하면 된다. 고령자, 장애인 등 인터넷 사용이 어려운 고객에게는 공사 전담직원이 청약신청을 대행해준다.
독자들의 PICK!
서류심사 대상자 발표는 28일, 당첨자 발표는 4월 30일이며, SH공사 홈페이지에서 확인할 수 있다. 계약은 5월 13일부터 16일까지다. 입주는 서초네이처힐1단지와 래미안도곡진달래, 잔여공가는 단지별로 5월부터 6월까지, 양재1단지와 강서한강자이는 10월부터 11월까지 할 예정이다.
양재1단지와 서초네이처힐1단지는 15~17일에 견본주택을 공개하고, 그 외 단지는 현장여건상 견본주택을 공개하지 않는다.
