[박정렬의 신의료인]

전 세계적으로 매년 약 94만명이 대장암으로 사망한다. 국가암정보센터에 따르면 우리나라 전체 암 중 대장암으로 인한 사망률은 남성 3위, 여성 2위로 높은 수준을 기록하고 있다. 대장암 치료 성적을 높이기 위한 방안이 다양하게 모색되는 가운데, 젊어서 더 독한 '조기 대장암' 환자를 대상으로 생존율 향상에 영향을 미치는 요인을 국내 연구진이 파악해 관심을 끈다.
한림대동탄성심병원 외과 김종완 교수 연구팀은 '젊은 성인 대장암 환자의 임상병리학적 특성과 항암치료가 예후에 미치는 영향'이란 제목의 논문을 SCIE 급 국제학술지 '임상의학저널(Journal of Clinical Medicine)' 최근호에 게재했다고 5일 밝혔다.
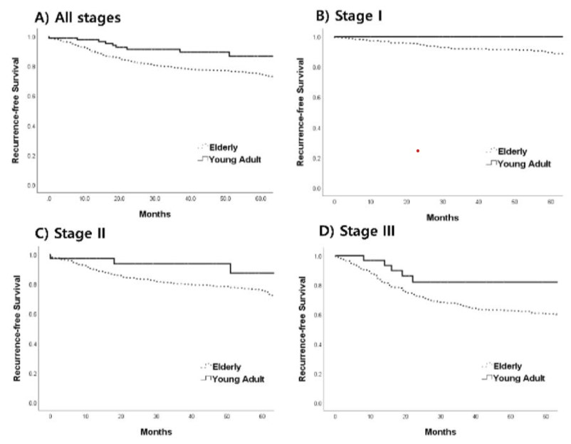
연구팀은 대장암 0~3기 진단을 받은 45세 이하 젊은 환자 93명과 45세가 넘는 고령 환자 1899명의 치료 후 생존율을 분석했다. 젊은 대장암 환자의 평균 연령은 38.8세였고, 고령 대장암 환자의 평균 연령은 67.7세였다.
분석 결과, 젊은 환자가 고령 환자보다 대장암의 특성이 고약했다. 병리학적 분석에서 조직학적으로 악성도가 높은 암의 비율은 젊은 환자가 11.8%로 고령 환자(5.4%)의 2배를 넘었다. 림프 혈관과 신경 주위 침습 비율도 젊은 환자와 고령 환자 각각 45.2%대 38.8%, 26.9%대 18.7%로 나타나 젊은 환자가 더 나쁜 암으로 진단됐다.

게다가 젊은 환자 그룹은 종양이 대장을 막아 생기는 장 폐쇄는 5명 중 1명(24.7%)이, 장벽에 구멍이 뚫리는 대장 천공은 5.4%에서 나타나 모두 고령 환자 발생률(각각 14.2%, 1.7%)보다 높았다. 이에 따라 응급수술을 받은 비율도 16.1%에 달해 고령 환자(8.5%)보다 눈에 띄게 높았다. 복통?혈변?변비?체중 변화?소화불량 등 대장암으로 인한 증상도 젊은 환자(68.8%)가 고령 환자(55.9%)보다 더 많이 경험했다. 감종완 교수는 "이는 증상이 나타날 때까지 대장암 발견과 치료가 늦어졌음을 의미한다"고 설명했다.
젊은 대장암은 이처럼 치료가 까다로운 특징이 있고, 진단과 치료도 대체로 고령 환자보다 늦지만, 치료 결과는 더 좋았다. 암 치료 후 암이 재발하지 않고 생존해 있는 5년 무재발 생존율은 젊은 환자 86.7%로 고령 환자(74.2%)보다 12.5%p 높았다. 특히 병기가 높아질수록 차이가 벌어져 1기에서는 100%대 89.5%, 2기에서는 87.4%대 75.2%, 3기에서는 82%대 60.3%로 무려 21.7%p까지 차이가 났다.

나이에 따른 복강경수술 비율, 합병증, 입원 기간 등의 요인은 유의미한 차이는 보이지 않았지만, 항암치료를 받은 비율은 젊은 환자가 62.4%로 고령 환자 45.3%보다 높아 치료 예후에 주요한 영향을 끼쳤다는 설명이다. 또 고령 환자는 20%가 치료를 마치기 전 항암치료를 중단했지만 젊은 환자는 8.8%만이 항암치료를 중단해 역시 차이를 보였다. 복합항암제를 사용한 비율도 젊은 환자(45.2%)가 고령 환자(27%)보다 더 많았다.
독자들의 PICK!
김종완 교수는 "젊은 대장암 환자는 고령 환자보다 항암치료를 더 많이, 중단하지 않고 받았으며 복합항암제를 더 많이 사용해 무재발 생존율이 높은 것으로 확인됐다"며 "연령이 높을수록 항암치료에 대해 거부감을 갖는 경우가 많지만, 항암화학요법은 암의 성장을 억제하고 크기를 줄이며 암세포를 완전히 제거해 완치를 기대할 수 있게 하는 매우 중요한 치료 과정임을 기억해야 한다"고 강조했다.